Hi, apparently, Typst has no problem breaking inline equations at symbols such as ×. Is there a way to protect an equation (or maybe general content) from any line breaks? The problem is that inserting word-joiners sym.wj does not work with equations, at least it seems to have no effect.
Note that wrapping it in a box helps with linebreaks at symbols like + or - but not with ×.
Okay, so here is what I figured out.
Wrapping an inline equation in a box does solve the problem as long as the equation is not wider than the container width.
#block(
width: 3cm,
stroke: gray
)[------------$a+b+c×d$]
#block(
width: 3cm,
stroke: gray
)[------------#box($a+b+c×d$)]
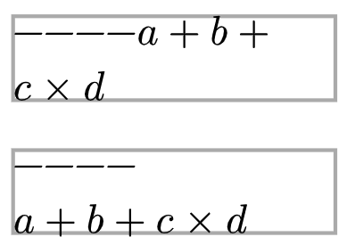
When the container is too small to accommodate the equation at all, breaks cannot be avoided this way (however, for practical purposes in a main text body this should be no problem).
#block(
width: 2cm,
stroke: gray
)[------------$a+b+c×d$]
#block(
width: 2cm,
stroke: gray
)[------------#box($a+b+c×d$)]
Even here, breaks can be avoided by changing the math class of the binary operators. For example $a class("large","+")b class("large","+")c class("large","×")d$ does not allow any line breaks whatsoever. But of course this is a bit hacky.
This suggests the solution of measuring the equation to size the box. One can take into account the available width in the parent container or ignore it, depending on the preferred behavior (break or overflow):
// To break the equation when it doesn't fit
#let no-break(eq) = box(layout(size => {
let w = measure(eq, ..size).width
box(width: w, eq)
}))
// To overflow when it doesn't fit
#let no-break(eq) = context {
let w = measure(eq).width
box(width: w, eq)
}
#show math.equation.where(block: false): no-break
I’m pretty sure you need to wrap layout in box because it’s a block container.
Indeed, thanks! (I’ve edited the code)
This is a very smart.

