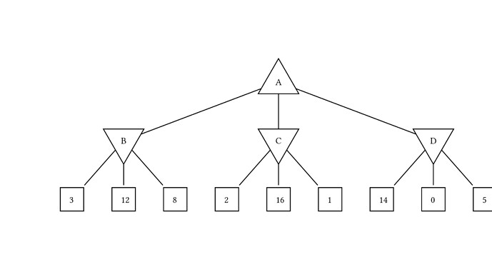
I’ve been trying to create a diagram similar to this diagram with different data filled (all rectangles / triangles filled):
possibly with on/off setting for alpha/beta
Here’s my attempt:
#import "@preview/cetz:0.4.2" as cetz: canvas,
#canvas({
import cetz.tree
import cetz.draw: *
set-style(content: (padding: .1))
tree.tree(
(([A]), ([B], [3], [12], [8]), ([C], [2], [16], [1]), ([D], [14], [0], [5])),
draw-node: (node, ..) => {
if node.depth == 0 {
polygon((), 3, angle: 90deg)
content((),node.content)
} else if node.depth == 1 {
polygon((), 3, angle: -90deg)
content((),node.content)
} else if node.depth == 2 {
content(
(-0.5, -0.5),
(0.5, 0.5),
box(
node.content,
stroke: 1pt,
width: 100%,
height: 100%,
inset: 1em
)
)
}
}
)
})
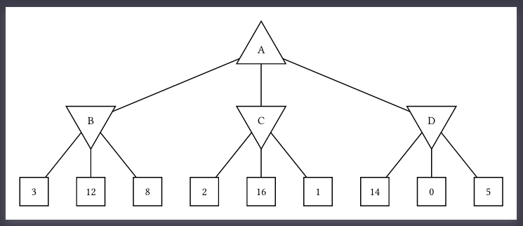
Here’s the output:
I can see that the numbers are not aligned correctly and the lines are not to the center of the box


