Hello everyone!
I’ve been using typst for quite a while now, and there is always this one thing that i can’t do thats bugging me.
In latex there is a package called witharrows that lets you write equations and have arrows explainging what i did to get from the first equation to the seconed, but in typst no matter how hard i tried i just couldn’t find how to do it.
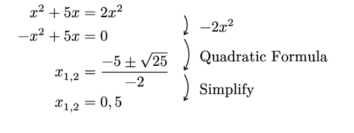
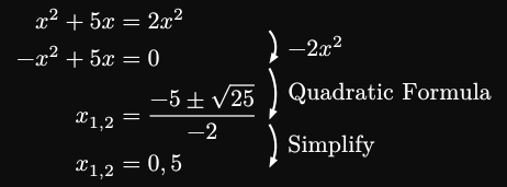
This is what im talking about:
\usepackage{witharrows}
\[
\begin{WithArrows}
x^2+5x&=2x^2\Arrow{\( -2x^2 \)}\\
-x^2 +5x&=0\Arrow{Quadratic Formula}\\
x_{1,2}&=\frac{-5 \pm \sqrt{25}}{-2}\Arrow{Simplify}\\
x_{1,2}&=0,5
\end{WithArrows}
\]
which gives me this:
Do you know how to do this in typst?





