i’m trying to create some label/tag for each step of the equation or a tag for the equation as a whole. Is that possible in Typst?
1 Like
Is there a specific way you are wanting to use to achieve this? The first thing that comes to mind is using a grid, but that does nothing to the references or numbering of the equations.
#grid(
columns: 2,
column-gutter: 1em,
row-gutter: 1em,
align: (right, left),
$y = m x + b$, [(Linear)],
$a^2 + b^ = c^2$, [(Pythagorean theorem)]
)
1 Like
The simplest way to annotate each equation is to put in the text as an aligned part of each row. Just checking if the simple way is good enough before you need some custom solution.
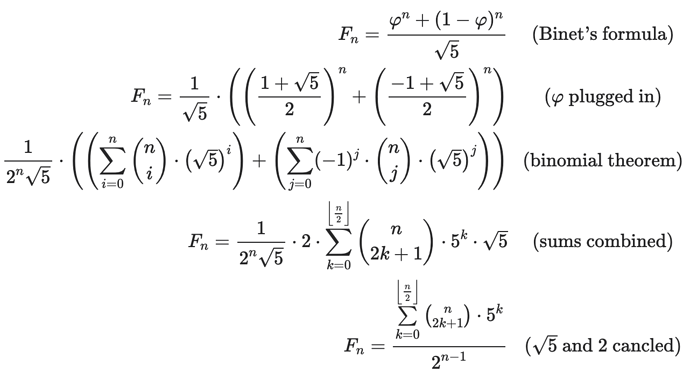
$
F_n = (phi^n + (1 - phi)^n)/sqrt(5) && "Binet's formula" \
F_n = ... && phi "plugged in" \
F_n = ... && "binomial theorem" \
$

1 Like
If the alignment should be the same, then I think @gezepi’s approach is the most straightforward, but in this case it should be (right, center). If you will write block level equations, then it should be (right, center + horizon).
@bluss, please try using the correct language identifier for code block, in this case it’s typ.
