I have 4 equations with some alignments, and i want the 5th eq-n to ignore most of the alignments of the previous four, and only pay attention to some alignments, something like:
. The closest i’ve got to is:
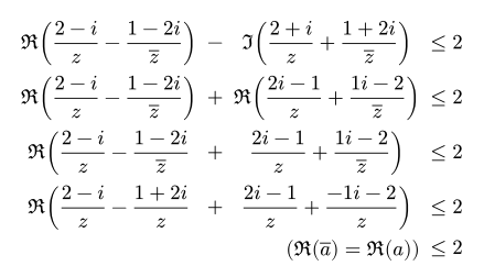
$
Re((2 - i) / z - (1 - 2i) / overline(z)) &-&& Im((2 + i) / z + (1 + 2i) / overline(z)) & &<.eq& 2 \
Re((2 - i) / z - (1 - 2i) / overline(z)) &+&& Re((2i - 1) / z + (1i - 2) / overline(z)) &&<.eq& 2 \
Re((2 - i) / z - (1 - 2i) / overline(z) &+&& (2i - 1) / z + (1i - 2) / overline(z)) &&<.eq& 2 \
Re((2 - i) / z - (1 + 2i) / z &+&& (2i - 1) / z + (- 1i - 2) / z) &&<.eq& 2 " " &(Re(overline(a)) = Re(a)) \
&&& &Re((2-2i)/z) &<.eq& 2 \
$
, i.e. i tried to split the column of the second addendum into two - one left-aligned, one right-aligned. but as you can see, there is one extra alignment (typst kinda wants LHSs of eq-s 1-4 and eq-n 5 not to overlap):
what would be ideal for me is if eq-n 5 “ignored” all alignments except the ones next to lt.eq.


