Hello everyone!
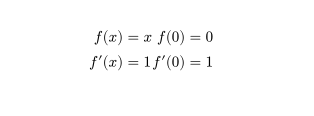
In Latex, I can write something along:
\begin{align*}
f(x)&=x & f(0)&=0\\
f'(x)&=1 & f'(0)&=1
\end{align*}
which then makes two columns of text (and aligns each of the equal signs) like this:
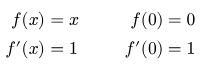
When trying to do the “same” in typst:
$
f(x) &= x & f(0)&= 0 \
f '(x) &= 1 & f '(0)&= 1
$
the math is not spreading into two columns:
Do you know how to make it work like in Latex?
Thank you in adnvace!
bluss
2
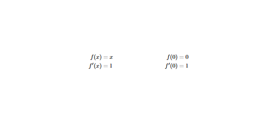
A direct equivalent does not exist, but you can insert spacing to force similar layout.
$
f(x) &= x wide wide & f(0)&= 0 \
f'(x) &= 1 & f '(0)&= 1
$
Control of equation column gap is in the works and might be included in Typst in the future: Add `column-gap` option to `math.equation` by mkorje · Pull Request #5183 · typst/typst · GitHub
1 Like
Got it - thank you! I really hope they implement it…
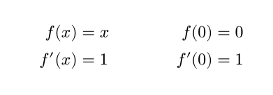
Here’s a different approach to doing this, though it might not be suitable for anyone:
#align(center, {
$f(x) & = x \
f'(x) & = 1$
h(1cm)
$f(0) & = 0 \
f'(0) & = 1$
})
