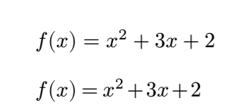
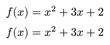
It seems like med or 2/9 em is the default spacing between words and terms in math mode; the following two lines of code render identically.
$
f(x) &= x^2 + 3x + 2 \
f(x) &= x^2 med + med 3x med + med 2
$
Is there a way to change this default spacing unit?
